RESUMEN
Introducción y objetivos: El infarto agudo de miocardio (IAM) sigue siendo una causa principal de muerte en México, pero el impacto de su presentación fuera de horario sobre la mortalidad está poco investigado. El objetivo de este estudio fue evaluar la asociación entre las admisiones fuera de horario (noches, fines de semana y festivos) y la mortalidad a 30 días en pacientes con IAM en hospitales mexicanos, con énfasis en el papel de las salas de hemodinámica (SH).
Métodos: Se realizó un estudio de cohorte retrospectivo que analizó las admisiones en urgencias desde diciembre de 2014 hasta agosto de 2023. Las admisiones se clasificaron como fuera o dentro de horario, y se estratificaron según el tipo de hospital (con o sin SH). Se emplearon modelos de regresión de Cox ajustados por variables sociodemográficas, de salud y temporales para analizar el riesgo de mortalidad.
Resultados: El estudio incluyó 29.131 casos: 4.515 en hospitales con SH (grupo 1) y 24.616 en hospitales sin esta infraestructura (grupo 2). Las admisiones fuera de horario representaron el 46,7% en el grupo 1 y el 53,6% en el grupo 2. El análisis ajustado mostró que, aunque la presencia de un laboratorio de cateterismo fue protectora (HR = 0,25; IC95%, 0,23-0,28), las admisiones fuera de horario aumentaron el riesgo de mortalidad en ambos grupos (grupo 1: HR = 1.25; IC95%, 1,04-1,50; grupo 2: HR = 1,16; IC95%, 1,11-1,22). Los turnos nocturnos también incrementaron el riesgo de muerte en ambos grupos, pero los fines de semana y festivos solo lo hicieron en los hospitales sin laboratorio de cateterismo.
Conclusiones: Las admisiones fuera de horario se asociaron con mayor mortalidad y, a diferencia de los países desarrollados, la presencia de una SH no mejoró los resultados fuera de horario.
Palabras clave: Infarto agudo de miocardio. Fuera de horario. México.
ABSTRACT
Introduction and objectives: Although acute myocardial infarction (AMI) remains a leading cause of death in Mexico, the impact of out-of-hours presentation on mortality remains understudied. The aim of this study was to evaluate the association between out-of-hours admissions (nights, weekends, holidays) and 30-day mortality in patients with AMI in Mexican hospitals, with a focus on the role of catheterization laboratories (cath lab).
Methods: We conducted a retrospective cohort study to analyze emergency admissions from December 2014 through August 2023. Admissions were classified as out-of-hours or during-hours and were stratified by hospital type (with or without cath lab). Cox regression models adjusted for sociodemographic, health, and temporal variables were used to analyze mortality risks.
Results: The study included a total of 29 131 cases: 4515 in percutaneous coronary intervention (PCI)-capable centers (group 1) and 24 616 in non-PCI-capable centers (group 2). Admissions outside regular hours accounted for 46.7% in group 1 and 53.6% in group 2. Adjusted analysis showed that although the presence of a cath lab was protective (HR, 0.25; 95%CI, 0.23-0.28), admissions outside regular hours increased the risk of mortality in both groups (group 1: HR, 1.25; 95%CI, 1.04-1.50; group 2: HR, 1.16; 95%CI, 1.11-1.22). Although overnight shifts increased the risk of death in both groups, weekends and holidays increased such risk only in non-PCI-capable centers.
Conclusions: Out-of-hours admissions were associated with higher mortality, and unlike in developed countries, the presence of a cath lab did not improve out-of-hours outcomes.
Keywords: Acute myocardial infarction. Out-of-hours. Mexico.
Abreviaturas
IAM: infarto agudo de miocardio. ICP: intervención coronaria percutánea. SH: sala de hemodinámica.
INTRODUCCIÓN
El infarto agudo de miocardio (IAM) sigue siendo una de las principales causas de morbimortalidad en todo el mundo, a pesar de los avances en materia de prevención y tratamiento1-3. La evidencia sugiere que los pacientes con IAM que ingresan fuera del horario laboral (noches, fines de semana y festivos) tienen peores resultados4-6, probablemente por retrasos en el tratamiento7, la falta de especialistas y por no tener acceso a ciertas intervenciones4-9. Aunque esta relación está bien documentada en países con ingresos altos, su impacto en países con ingresos medios-bajos como México, donde los recursos sanitarios suelen ser limitados, sigue siendo objeto de debate10-12.
Entre los países de la Organización para la Cooperación y el Desarrollo Económicos (OCDE), México presenta la tasa más alta de mortalidad por IAM (23,7%), superando ampliamente la media de la OCDE del 7%3,12. A lo largo del último siglo, el sistema de salud pública mexicano ha pasado de la fragmentación a la organización institucional, con centros de renombre como el Instituto Mexicano del Seguro Social (IMSS) (fundado en 1943) y el Instituto de Seguridad y Servicios Sociales de los Trabajadores del Estado (ISSSTE), que ofrecen cobertura sanitaria a trabajadores y funcionarios, respectivamente13,14. Para subsanar las deficiencias en materia sanitaria en poblaciones sin seguro médico, se establecieron programas como el Seguro Popular (2003), el Instituto de Salud para el Bienestar (INSABI) (2020) y el IMSS-BIENESTAR (2023). En los últimos años, más de 53 millones de personas sin seguro médico, aproximadamente el 42% de la población, son atendidos en la Secretaría de Salud (SSA) en 12.000 centros de salud y más de 680 hospitales13.
A pesar de las reformas llevadas a cabo en el sistema sanitario mexicano, el tratamiento del IAM no termina de despegar por el escaso acceso que hay a servicios especializados, lo fragmentados que están los seguros médicos y por un sistema de respuesta ante emergencias subóptimo. Estos problemas, acuciados por las ya citadas desigualdades socioeconómicas y una medicina preventiva insuficiente, provocan retrasos y tratamientos de peor calidad15,16. El principal objetivo del presente estudio fue analizar la relación que existe entre la atención sanitaria fuera del horario laboral y la mortalidad por IAM a 30 días en los servicios de urgencias mexicanos.
MÉTODOS
Diseño del estudio, guías y fuente de datos
Se realizó un estudio de cohorte retrospectivo de conformidad con los criterios establecidos en la declaración STROBE (Strengthening the Reporting of Observational Studies in Epidemiology)17. El presente estudio utilizó información de la base de datos pública de ingresos a servicios de urgencias mexicanos entre diciembre de 2014 y agosto de 2023, publicada y validada por la Dirección General de Información en Salud (DGIS)18. Esta base de datos reúne información anónima del registro hospitalario de la SSA (programas Seguro Popular/INSABI/IMSS-BIENESTAR) a nivel nacional. No se obtuvo ninguna información sobre tratamientos específicos tales como intervenciones coronarias percutáneas (ICP), trombólisis, así como tampoco sobre el tiempo puerta-balón o las comorbilidades de los pacientes ni retrasos en la llegada al hospital.
Participantes y tamaño de la muestra
Se incluyeron todos aquellos pacientes diagnosticados de IAM (Clasificación Internacional de Enfermedades [CIE-10, I21,0 a I21,9]), con hospitalizaciones ≤ 30 días, clasificados como aquellos que habían tenida una urgencia propiamente dicha, edad ≥ 18 años y que habían sido atendidos en hospitales de la SSA. Se excluyeron todos aquelos casos sobre los que se tenía información incompleta o no atendidos en el servicio de urgencias por haber sido derivados a otra unidad, solicitado el alta voluntaria, o haber sido derivados a consultas externas.
Definición de predictores y resultados
Se recogieron variables sociodemográficas (sexo y edad), temporales (fechas de ingreso y alta), asociadas a los cuidados médicos (tipo de urgencia, estado al alta, tipo de cama y tipo de IAM según CIE-10), así como las características de las salas de hemodinámica (SH). Se aglutinaron múltiples variables para el análisis, incluidas la región de residencia, los fallecimientos (sí/no) y el tiempo de hospitalización (intervalo ingreso-alta). El predictor principal (atención fuera del horario laboral) se definió como todos aquellos ingresos ocurridos durante el turno de noche (19:00-6:59 h), fines de semana o festivos oficiales (de conformidad con el Artículo 74 de la Ley Federal del Trabajo mexicana)19. También se tuvo en cuenta la pandemia de la COVID-19 (23/03/2020-9/05/2023)20. Los hospitales se clasificaron como centros con o sin capacidad para realizar ICP según la dotación disponible de la SSA; se obtuvo información precisa y actualizada sobre los centros con capacidad para realizar ICP; las definiciones detalladas se muestran en la tabla S1.
Análisis estadístico
Las variables cuantitativas se expresaron como media ± desviación estándar (DE) y las categóricas como frecuencias y porcentajes. La muestra principal se dividió en 2 grupos para observar las diferencias entre centros con y sin capacidad para realizar ICP y todos los análisis se realizaron sistemáticamente en cada grupo. Las pruebas de la X2 y t de Student analizaron las diferencias entre los grupos de pacientes atendidos fuera y dentro del horario laboral. Se realizaron análisis de regresión de Cox uni y multivariados con riesgos proporcionales, ajustados por edad, sexo, año de ingreso, tipo de urgencia, tipo de cama, territorialidad, tipo de IAM, ingreso durante la pandemia de la COVID-19 y en base a las características de la SH. También se construyeron curvas de supervivencia de Kaplan-Meier para calcular y visualizar la mortalidad acumulada según los componentes de atención fuera del horario laboral. Los valores p < 0,05 se consideraron significativos a nivel estadístico. Los intervalos de confianza (IC) se fijaron en el 95% (IC95%). Tanto los análisis descriptivos como los analíticos se realizaron con el paquete de software estadístico SPSS versión 25,0 (IBM, Estados Unidos) y R versión 4,2,0 (R Foundation for Statistical Computing, Austria).
Consideraciones éticas
El estudio se basó en información obtenida de la base de datos pública de ingresos a urgencias publicada por la DGIS4. En este sentido, la confidencialidad de los sujetos está legislada por la normativa mexicana NOM-012-SSA3-201221 y el estudio se clasifica como investigación sin riesgo de conformidad con los principios que establece la Ley General de Investigación para la Salud22. La investigación fue aprobada por el Comité de Ética del Hospital de la Mujer, SSA (Nº 202403-47).
RESULTADOS
Características generales
Finalmente, los datos incluyeron un total de 29.131 casos: 4.515 y 24.616 casos de centros con (grupo 1) y sin (grupo 2) capacidad para realizar ICP, respectivamente (figura 1). Los ingresos fuera del horario laboral representaron el 46,7% del grupo 1 y el 53,6% del grupo 2, siendo los ingresos durante la noche los más frecuentes y los ingresos en días festivos los menos habituales (tabla S2). El 32,2% de los centros con capacidad para realizar ICP podía realizar dicha intervención durante la noche y el 53,1% en fin de semana. Los ingresos fuera del horario laboral se asociaron a una mayor proporción de pacientes varones, hospitalizaciones más largas, más camas para pacientes en shock, mayor mortalidad, más diferencias interregionales y un mayor impacto de la pandemia de la COVID-19 (tabla S3). Además, en aquellos centros con capacidad para realizar ICP, los ingresos fuera del horario laboral se asociaron a menos intervenciones diarias, de media, y a menos profesionales por turno (tabla S4).
Figura 1. Diagrama de flujo del proceso de filtrado. Se incluyeron pacientes con IAM (CIE-10 I21.0-I21.9), edad ≥ 18 años, hospitalizados ≤ 30 días en servicios de urgencias de la Secretaría de Salud (SSA). Se excluyeron todos aquellos casos con datos incompletos o no atendidos en urgencias. La cohorte final se clasificó en centros con y sin capacidad para realizar ICP identificados mediante registros de intervención coronaria percutánea o cateterismo cardiaco. IAM: infarto agudo de miocardio; ICP: intervención coronaria percutánea.
Relación entre la atención fuera del horario laboral y el riesgo de muerte
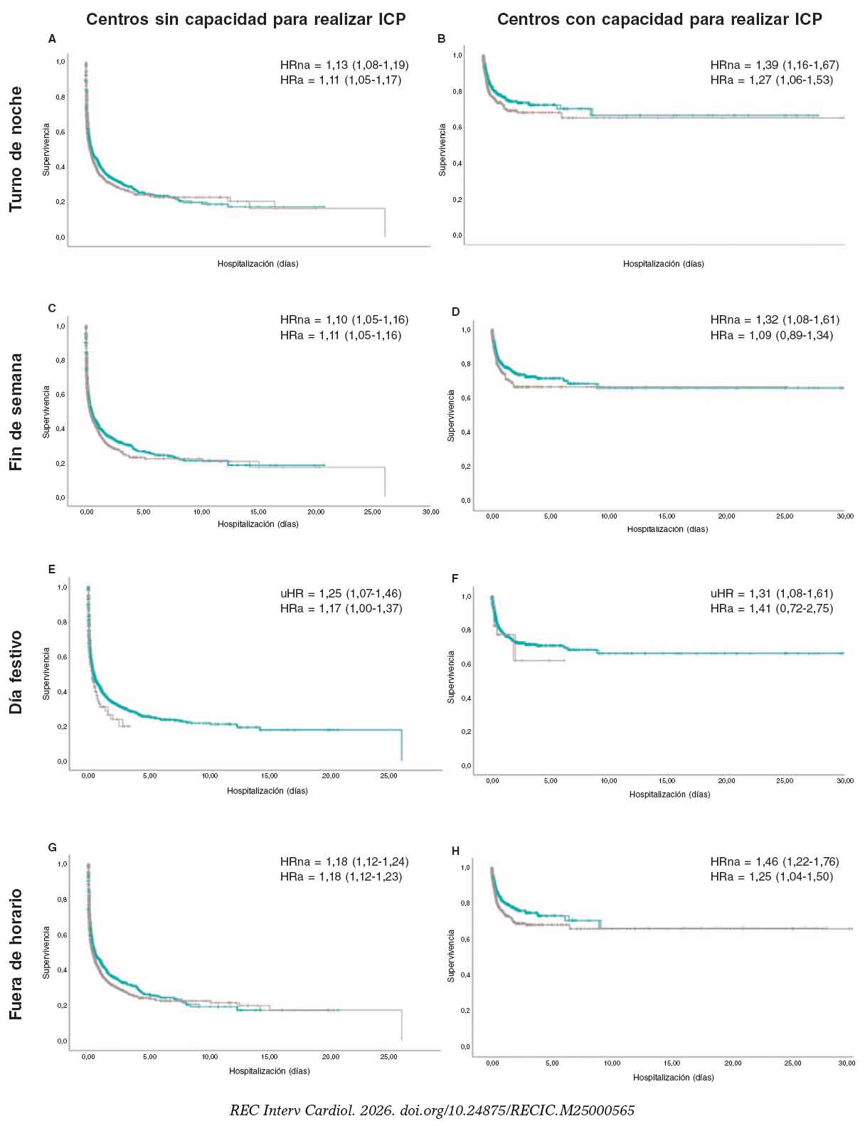
El análisis univariado confirmó que la presencia de una SH fue un factor protector (HR = 0,22; IC95%, 0,204–0,246). Los ingresos fuera del horario laboral, los turnos de noche, los ingresos en fin de semana y la pandemia de la COVID-19 se asociaron a tasas de mortalidad más altas en los 2 grupos. Los riesgos asociados a ingresos fuera de horario (HR = 1,46; IC95%, 1,21–1,73 frente a HR = 1,18; IC95%, 1,11–1,23) y durante la noche (HR = 1,18; IC95%, 1,12–1,23 frente a HR = 1,13; IC95%, 1,08–1,18) fueron mayores en los centros con capacidad para realizar ICP; los días festivos subieron la tasa de mortalidad solo en los centros sin capacidad para realizar ICP (HR = 1,21; IC95%, 1,03–1,41) (figura 2). Entre las características de las SH, una media más alta de intervenciones (HR = 0,888; IC95%, 0,840–0,938), una mayor dotación de personal (HR = 0,800; IC95%, 0,760–0,842) y la disponibilidad durante los turnos vespertinos (HR = 0,515; IC95%, 0,427–0,620), nocturnos (HR = 0,290; IC95%, 0,233–0,361) y de fin de semana (HR = 0,317; IC95%, 0,264–0,380) se asociaron a tasas de mortalidad más bajas.
Figura 2. Riesgo de mortalidad asociado a ingresos fuera del horario laboral por IAM: análisis estratificado por tipo de hospital (centros con y sin capacidad para realizar ICP). El gráfico muestra los resultados de los modelos de regresión de Cox ajustados y no ajustados. Los ajustes incluyeron edad, sexo, tipo de urgencia, tipo de cama, región, año de ingreso, tipo de IAM y periodo de COVID-19. Para los centros con capacidad para realizar ICP, se llevaron a cabo ajustes adicionales por disponibilidad de la sala de hemodinámica por turno, tipo de angiografía y número de especialistas por turno. Los puntos representan los HR de mortalidad con líneas horizontales para un IC95%. Los resultados se muestran por separado para centros con y sin capacidad para realizar ICP. HR > 1 indica un mayor riesgo de mortalidad; HR < 1 indica un menor riesgo. *p < 0,05; ** p < 0,01; ***p < 0,001. COVID-19, enfermedad por coronavirus 2019; HR: hazard ratio; IC95%: intervalo de confianza del 95%; ICP: intervención coronaria percutánea.
Tras ajustar por posibles factores de confusión, la presencia de una SH siguió siendo un factor protector (HR = 0,25; IC95%, 0,23–0,28) y los ingresos fuera de horario, durante el turno de noche y la pandemia de la COVID-19 siguieron asociándose a tasas de mortalidad más altas en los 2 grupos. El riesgo de mortalidad ajustado asociado tanto a los ingresos fuera de horario (HR = 1,25; IC95%, 1,04–1,50 frente a HR = 1,18; IC95%, 1,12–1,23) como a aquellos durante la noche (HR = 1,27; IC95%, 1,06–1,53 frente a HR = 1,11; IC95%, 1,06–1,17) se mantuvo y los efectos del fin de semana y los días festivos siguieron siendo importantes solo en los centros sin capacidad para realizar ICP (figura 2). En cuanto a las características de la SH, solo la disponibilidad durante el turno de noche (HR = 0,149; IC95%, 0,089–0,248) y una dotación media de profesionales sanitarios por turno (HR = 0,770; IC95%, 0,710–0,834) se asociaron a tasas de mortalidad mucho más bajas. Las curvas de supervivencia de Kaplan–Meier se muestran en la figura 3.
Figura 3. Análisis de Kaplan–Meier de la mortalidad por IAM fuera del horario laboral según tipo de hospital. Cada columna representa la disponibilidad de la SH y cada fila los componentes del ingreso fuera del horario laboral. Cada panel (A-H) muestra el riesgo de mortalidad ajustado (HRa) y no ajustado (HRna) con sus correspondientes intervalos de confianza del 95%.
DISCUSIÓN
Hallazgos más importantes
Este estudio de ámbito nacional analizó los ingresos por IAM en un amplio número de hospitales mexicanos y comparó centros con y sin capacidad para realizar ICP. Los ingresos fuera del horario laboral fueron frecuentes y se asociaron a tasas de mortalidad más altas, hospitalizaciones más largas, más camas para pacientes en shock y más pacientes varones. Aunque la presencia de una SH tuvo un efecto, por lo general, protector tras el ajuste estadístico, tanto los ingresos fuera del horario laboral como aquellos durante el turno de noche presentaron un incremento modesto en la mortalidad en los 2 grupos. Aunque los efectos del fin de semana y los días festivos fueron más evidentes en los centros sin capacidad para realizar ICP, estos resultados se deben interpretar con cautela debido a la ausencia de datos clínicos detallados sobre las estrategias de reperfusión, la clasificación de infarto agudo de miocardio con y sin elevación del segmento ST (IAMCEST/IAMCEST) y las comorbilidades.
Un hallazgo clave es que los centros con capacidad para realizar ICP no eliminaron por completo el exceso de mortalidad durante los periodos fuera del horario laboral. Las capacidades intervencionistas avanzadas podrían mitigar parcialmente el riesgo durante fines de semana y festivos; no obstante, el desafío más importante sigue estando en los turnos de noche pues solo el 32,2% de los centros estudiados tenían SH disponibles durante estos turnos. Los ingresos fuera del horario laboral se asociaron a menos intervenciones, una menor dotación de personal y una menor disponibilidad de personal especializado frente al horario regular, lo cual coincide con lo descrito en estudios previos4,8,9 (tabla S4). Otros factores que probablemente contribuyen a los peores resultados obtenidos son la escasez de personal, los retrasos en la atención médica, el acceso limitado a especialistas y el impacto de factores humanos tales como la fatiga y la privación del sueño durante los turnos de noche, a pesar de la disponibilidad de intervenciones cardiacas avanzadas4,8,9. Los tiempos puerta-balón prolongados, la cobertura limitada de SH 24/7 y el número relativamente bajo de SH per cápita en México complican, más si cabe, estos desafíos. Además, el mayor riesgo fuera del horario laboral observado en los centros con capacidad para realizar ICP podría reflejar su rol como centros de referencia, donde los tiempos de llegada del paciente y los retrasos en la realización de intervenciones son más frecuentes16.
Desafíos prehospitalarios y asociados a la pandemia de la COVID-19 en el tratamiento del IAM
En México, varias instituciones han implementado programas para estandarizar el tratamiento del IAM, como el programa nacional “Código Infarto” del IMSS y de la SOCIME (2015) y el programa “AsISSSTE Infarto” del ISSSTE (2018)23,24. En cambio, las instituciones afiliadas a la SSA (Seguro Popular/INSABI/IMSS-BIENESTAR) siguen protocolos más heterogéneos, lo cual provoca disparidades en la atención médica. El resultado es que la heterogeneidad en el tratamiento del IAM entre instituciones probablemente complique los desafíos de la atención prehospitalaria. Legislada por la NOM-034-SSA3-2013 y coordinada a través de los Centros Reguladores de Urgencias Médicas25, la atención prehospitalaria no está exenta de problemas como una deficiente coordinación interinstitucional, una dotación insuficiente de ambulancias y poco personal, especialmente en zonas rurales. Estos factores aumentan los tiempos de respuesta y complican el tratamiento del IAM26. Estudios previos informan tiempos puerta-balón prolongados (de hasta 648 minutos) debidos al tráfico, la fragmentación del sistema sanitario y retrasos en el diagnóstico principal, siendo los ingresos en fin de semana y durante la noche predictores independientes de retrasos > 12 horas. Aunque el presente estudio no evaluó retrasos terapéuticos ni prehospitalarios per se, otros estudios sí los señalan como problemas graves en México. Araiza-Garaygordobil et al.16 informaron de un tiempo medio puerta-balón de 648 minutos en un centro terciario de referencia de la Ciudad de México, 3 veces mayor que en países desarrollados, debido al tráfico, la fragmentación del sistema sanitario y a retrasos en el diagnóstico principal. Baños-González et al.15 hallaron que los retrasos del paciente, normalmente por desconocimiento de los síntomas o por tener recursos limitados, provocaron llegadas tardías (> 12 horas), siendo el 60% de los pacientes trasladados en ambulancia. Los ingresos durante la noche y en fin de semana predijeron de manera independiente retrasos > 12 horas, con una media de espera de 11 horas para el primer contacto médico.
La pandemia de la COVID-19 se asoció a tasas de mortalidad más altas por IAM en los 2 grupos hospitalarios, con un efecto más pronunciado en aquellos centros con capacidad para realizar ICP. A nivel mundial, la pandemia alteró la prestación de servicios sanitarios y redujo las hospitalizaciones y la realización de ICP, en parte por una caída en las derivaciones y por la reticencia de los pacientes a la hora de buscar atención médica por miedo a contagiarse. En consecuencia, hubo retrasos desde que los pacientes cursaron síntomas hasta el primer contacto médico y tiempos puerta-balón más largos, factores, ambos, que influyen negativamente en los resultados del IAM27. En México, Rodríguez-González et al.28 informaron de caídas del 51% en los diagnósticos de IAMCEST al inicio de 2020, tiempos más dilatados de llegada y tasas más altas de mortalidad asociadas al IAMCEST del 4,9 al 6,8%. En países como España, las tasas de ICP cayeron un 10,1% durante 202029. Un metanálisis reciente informó de caídas significativas en el número de ICP realizadas (IRR = 0,72; IC95%, 0,67-0,77; I2 = 92,5%) y tiempos más dilatados en el tiempo desde que los pacientes cursaron síntomas hasta el primer contacto médico (69,4 minutos de media) ([11-127]; I2 = 99,4%) durante la pandemia de la COVID-19, sin registrarse cambios significativos en los tiempos puerta-balón (3,33 minutos [0,32-6,98]; I2 = 94,2%)30.
Aunque no se dispuso de datos clínicos detallados en nuestro estudio, el impacto del tratamiento en la mortalidad por IAM ha sido ampliamente investigado en México. La cohorte nacional RENASCA31 (21.826 pacientes, 2014–2017) informó de una alta prevalencia de diabetes (48%), hipertensión (60,5%), tabaquismo (46,8%), dislipemia (35,3%) y síndrome metabólico (39,1%) frente a registros multinacionales31,32. Los pacientes con IAMCEST (14,9%) tuvieron tasas más altas de mortalidad cardiovascular que aquellos con IAMSEST (7,6%), lo cual refleja patrones de referencia y complicaciones intrahospitalarias más graves como shock cardiogénico y arritmias. La implementación del programa “Código Infarto” del IMSS redujo la proporción de pacientes sin reperfusión del 65,2 al 28,6%, aumentó la fibrinólisis hasta el 40,1% y la ICP hasta el 31,3%33. En cambio, el protocolo español “Código Infarto” logró una tasa de realización ICP del 87%, un tiempo medio puerta-balón de 193 minutos y retrasos prehospitalarios mínimos; en este sentido, el 55,3% de los pacientes recibiendo una atención médica oportuna y la mayoría de los retrasos fueron atribuibles al diagnóstico inicial (18,5%)34.
Tendencias globales de mortalidad fuera del horario laboral: comparativa interregional
Comparados con metanálisis previos, que a menudo carecen de datos provenientes de regiones en vías de desarrollo como América Latina, nuestros hallazgos muestran disparidades importantes. Sorita et al.4 informaron tasas más altas de mortalidad a corto plazo y retrasos en las ICP realizadas en pacientes con IAMCEST ingresados fuera del horario regular, especialmente fuera de América del Norte. Wang et al.5 hallaron un ligero aumento de la mortalidad a corto plazo, sin efecto sobre los resultados a largo plazo ni sobre el riesgo de ICP. Otros análisis no identificaron diferencias significativas en la mortalidad ni en los tiempos puerta-balón35. Estudios de países en vías de desarrollo como Indonesia36,37 informaron que no hubo diferencias de mortalidad asociadas a la hora de ingreso y en Irak38, la falta de recursos y el conflicto reinante se asociaron a tasas de mortalidad más altas fuera del horario laboral y acceso limitado a la reperfusión. Estudios latinoamericanos realizados en Brasil39-41 y Argentina42, por lo general, no hallaron diferencias en los resultados asociadas al momento del ingreso. Las discrepancias con nuestros resultados probablemente reflejen diferencias en la infraestructura hospitalaria y dotación de personal; los hospitales públicos mexicanos tienen limitaciones importantes fuera del horario regular frente a los centros terciarios de referencia con SH disponibles 24/7. Además, las barreras socioeconómicas y la baja concienciación sobre los síntomas del IAM retrasan la atención médica y la falta de protocolos estandarizados aumenta, más aún si cabe, el riesgo de mortalidad.
Estrategias para mejorar el tratamiento del IAM fuera del horario laboral
Los hallazgos destacan varias áreas con margen de mejora dentro del sistema de salud mexicano, sobre todo, en los centros sin capacidad para realizar ICP. Los 3 componentes se asociaron a una tasa más alta de mortalidad, lo cual subraya la necesidad de optimizar la atención pre y poshospitalaria. Los esfuerzos deberían centrarse en un diagnóstico temprano, incluida una mayor disponibilidad de electrocardiografía y la implementación de plataformas de telemedicina que permitan a los cardiólogos evaluar de manera oportuna y orientar el tratamiento. Ampliar el acceso a tratamientos trombolíticos y asegurar la disponibilidad de personal experimentado durante los turnos fuera del horario laboral podría, también, ayudar a reducir los retrasos terapéuticos. Además, mejorar la coordinación entre centros sanitarios mediante rutas de referencia claras, estrategias de comunicación efectivas y protocolos estandarizados, especialmente en hospitales que atienden a poblaciones sin seguro médico, podría, asimismo, agilizar la atención média y reducir las variabilidades descritas en la administración del tratamiento. En los centros con capacidad para realizar ICP, la mortalidad fue especialmente alta durante los turnos de noche, probablemente por la menor disponibilidad de SH durante ese periodo. A pesar de la existencia de protocolos y tiempos puerta-balón optimizados, sigue siendo esencial reforzar tanto la dotación de personal como la formación durante la noche, lo cual podría incluir formación dirigida e incentivos para que los profesionales sanitarios trabajen en dichos turnos y garantizen una atención de alta calidad en todo momento.
Fortalezas y limitaciones
El presente estudio es una de las cohortes más extensas hasta la fecha que examina la relación que existe entre la mortalidad por IAM y el momento de presentación en México. Ofrece información valiosa sobre el posible impacto que tienen los ingresos fuera del horario laboral en los resultados y destaca la importancia de optimizar la dotación de personal, el flujo de pacientes y el acceso oportuno a intervenciones como la ICP. No obstante, los hallazgos se deben interpretar con cautela. El diseño retrospectivo, la falta de información detallada sobre el tratamiento (ICP, trombólisis, tiempos puerta-balón), la falta de datos sobre las comorbilidades de los pacientes y la imposibilidad de diferenciar entre IAMCEST y IAMSEST limitan la profundidad y precisión de los análisis. El estudio tampoco incorpora factores clave como los retrasos atribuibles a los propios pacientes, los patrones de uso de la SH ni las disparidades en infraestructura y disponibilidad de recursos. Estudios futuros deberían integrar información clínica y operatoria más completa y explorar el impacto que tiene la fatiga del personal, la variabilidad en los estándares de atención y los retrasos terapéuticos para delimitar mejor las brechas asistenciales.
CONCLUSIONES
Las presentaciones fuera del horario laboral se asociaron a altas tasas de mortalidad y, a diferencia de lo descrito en países desarrollados, la presencia de una SH no mejoró los resultados fuera del horario laboral, lo cual sugiere que factores más allá de su disponibilidad tales como ineficiencias sistémicas, limitaciones de recursos y deficiencias en la infraestructura sanitaria, podrían influir notablemente en los resultados de los pacientes en México.
FINANCIACIÓN
Ninguna.
CONSIDERACIONES ÉTICAS
La aprobación ética para este estudio fue otorgada por el Comité de Ética del Hospital de la Mujer, SSA (aprobación n.º 202403-47). La investigación utilizó datos de ingresos en urgencias de acceso público publicados por la DGIS, cuya confidencialidad está legislada por la normativa mexicana NOM-012-SSA3-2012. De conformidad con la Ley General de Salud en materia de investigación, el estudio se clasifica como investigación sin riesgo. La variable sexo se definió de conformidad con la definición de las guías Sex and Gender Equity in Research (SAGER) (tabla S1).
DECLARACIÓN SOBRE EL USO DE INTELIGENCIA ARTIFICIAL
No se emplearon herramientas de inteligencia artificial generativa (IAG) en la concepción, diseño, recogida de datos ni análisis de este manuscrito. Todo el contenido fue generado íntegramente por los propios autores.
CONTRIBUCIÓN DE LOS AUTORES
D. Arriaga-Izabal contribuyó a la conceptualización, metodología, recogida de datos, análisis de estos, investigación y redacción del borrador original, F. Morales-Lazcano a la investigación, recogida de datos y redacción del manuscrito original, A. Canizalez-Román contribuyó en materia de supervisión, administración del proyecto y validación y participó en la revisión y edición del manuscrito. Todos los autores leyeron y dieron su aprobación a la versión final del manuscrito.
CONFLICTO DE INTERESES
Ninguno.
¿QUÉ SE SABE DEL TEMA?
- Los ingresos fuera del horario laboral (de noche, en fin de semana y festivos) se asocian a tasas de mortalidad más altas por IAM, principalmente por retrasos en el tratamiento y por la menor disponibilidad de especialistas.
¿QUÉ APORTA DE NUEVO?
- Los ingresos fuera del horario laboral en hospitales mexicanos se asociaron a una tasa de mortalidad más alta a 30 días con independencia de la disponibilidad de una SH. Aunque las SH fueron, por lo general, protectoras, no mitigaron por completo el riesgo durante la noche, en fines de semana ni festivos y se observaron subidas de la mortalidad en centros sin capacidad para realizar ICP. Este estudio se ve limitado por la falta de datos clínicos detallados, incluido el tipo de IAM (IAMCEST/NIAMCEST), la estrategia de reperfusión, los tiempos puerta-balón y las comorbilidades, lo cual limita las conclusiones sobre el impacto preciso de la atención especializada. Factores sistémicos como poco personal y disparidades interregionales, probablemente contribuyen a estos resultados, lo cual pone de manifiesto la necesidad de mejorar el tratamiento del IAM fuera del horario laboral.
BIBLIOGRAFÍA
1. Ogita M, Suwa S, Ebina H, et al. Off-hours presentation does not affect in-hospital mortality of Japanese patients with acute myocardial infarction:J-MINUET substudy. J Cardiol. 2017;70:553-558.
2. Lozano R, Naghavi M, Foreman K, et al. Global and regional mortality from 235 causes of death for 20 age groups in 1990 and 2010:a systematic analysis for the Global Burden of Disease Study 2010. Lancet. 2012;380:2095-2128.
3. Organization for Economic Co-operation and Development (OECD). Health at a Glance 2023:OECD Indicators. 2023. Disponible en: https://doi.org/10.1787/7a7afb35-en. Consultado 25 Ene 2025.
4. Sorita A, Ahmed A, Starr SR, et al. Off-hour presentation and outcomes in patients with acute myocardial infarction:systematic review and meta-analysis. BMJ. 2014;348:f7393.
5. Wang B, Zhang Y, Wang X, Hu T, Li J, Geng J. Off-hours presentation is associated with short-term mortality but not with long-term mortality in patients with ST-segment elevation myocardial infarction:A meta-analysis. PLOS ONE. 2017;12:e0189572.
6. Yu YY, Zhao BW, Ma L, Dai XC. Association Between Out-of-Hour Admission and Short- and Long-Term Mortality in Acute Myocardial Infarction:A Systematic Review and Meta-Analysis. Front Cardiovasc Med. 2021;∖8752;675.
7. Magid DJ, Wang Y, Herrin J, et al. Relationship between time of day, day of week, timeliness of reperfusion, and in-hospital mortality for patients with acute ST-segment elevation myocardial infarction. JAMA. 2005;294:803-812.
8. Needleman J, Buerhaus P, Pankratz VS, Leibson CL, Stevens SR, Harris M. Nurse staffing and inpatient hospital mortality. N Engl J Med. 2011;364:1037-1045.
9. Musy SN, Endrich O, Leichtle AB, Griffiths P, Nakas CT, Simon M. The association between nurse staffing and inpatient mortality:A shift-level retrospective longitudinal study. Int J Nurs Stud. 2021;120:103950.
10. Albuquerque GO de, Szuster E, Corrêa LCT, et al. Análise dos resultados do atendimento ao paciente com infarto agudo do miocárdio com supradesnivelamento do segmento ST nos períodos diurno e noturno. Rev Bras Cardiol Invasiva. 2009;17:52-57.
11. Cardoso O, Quadros A, Voltolini I, et al. Angioplastia Primária no Infarto Agudo do Miocárdio:Existe Diferença de Resultados entre as Angioplastias Realizadas Dentro e Fora do Horário de Rotina? Rev Bras Cardiol Invasiva. 2010;18.
12. Pérez-Cuevas R, Contreras-Sánchez SE, Doubova SV, et al. Gaps between supply and demand of acute myocardial infarction treatment in Mexico. Salud Pública México. 2020;62:540-549.
13. Robledo Z. La transformación del sistema de salud mexicano. Salud Pública México. 2024;66:767-773.
14. Gómez Dantés O, Sesma S, Becerril VM, Knaul FM, Arreola H, Frenk J. Sistema de salud de México. Salud Publica Mex. 2011;53 Suppl 2:s220-32.
15. Baños-González MA, Henne-Otero OL, Torres-Hernández ME, et al. Factores asociados con retraso en la terapia de reperfusión en infarto agudo de miocardio con elevación del segmento ST (IMCEST) en un hospital del sureste mexicano. Gac Médica México. 2016;152:495-502.
16. Araiza-Garaygordobil D, González-Pacheco H, Sierra-Fernández C, et al. Pre-hospital delay of patients with ST-elevation myocardial infarction in Mexico City. Arch Cardiol Mex. 2019;89:174-176.
17. Cuschieri S. The STROBE guidelines. Saudi J Anaesth. 2019;13(Suppl 1):S31-S34.
18. Dirección General de información en Salud [DGIS]. Datos Abiertos de Urgencias. 2023. Disponible en: https://rb.gy/lb0tw. Consultado 25 Ene 2025.
19. Procuraduría Federal de la Defensa del Trabajo. ¿Sabes Cuáles Son Los Días de Descanso Obligatorio Para Este 2024?. 2023. Disponible en: https://www.gob.mx/profedet/articulos/sabes-cuales-son-los-dias-de-descanso-obligatorio-para-este-2024. Consultado 25 Ene 2025.
20. Secretaría de Salud. México pone fin a la emergencia sanitaria por COVID-19. 2023. Disponible en: https://www.gob.mx/salud/prensa/mexico-pone-fin-a-la-emergencia-sanitaria-por-covid-19-secretaria-de-salud. Consultado 25 Ene 2025.
21. Diario Oficial de la Federación [DOF]. NORMA Oficial Mexicana NOM-012-SSA3-2012. 2013. Disponible en: https://platiica.economia.gob.mx/normalizacion/nom-012-ssa3-2012/. Consultado 25 Ene 2025.
22. Diario Oficial de la Federación [DOF]. NORMA Oficial Mexicana NOM-012-SSA3-2012. 2013. Disponible en: https://platiica.economia.gob.mx/normalizacion/nom-012-ssa3-2012/. Consultado 25 Ene 2025.
23. Robledo-Aburto ZA, Duque-Molina C, Lara-Saldaña GJ, et al. Protocolo de atención Código Infarto, hacia la federalización de IMSS-Bienestar. Rev Médica Inst Mex Seguro Soc. 2022;60(Suppl 2):S49-S53.
24. Institute for Social Security and Services for State Workers (ISSSTE). Con Asissste Infarto disminuye mortalidad por problemas cardiovasculares. Disponible en: https://www.gob.mx/issste/prensa/con-asissste-infarto-disminuye-mortalidad-por-problemas-cardiovasculares. Consultado 21 Ene 2025.
25. Diario Oficial de la Federación [DOF]. NOM-034-SSA3-2013. Regulación de los servicios de salud. Atención médica prehospitalaria. 2013. Disponible en: https://platiica.economia.gob.mx/normalizacion/nom-034-ssa3-2013/. Consultado 26 Ene 2025.
26. Ministry of Health (SSA). Modelo de Atención Médica Prehospitalaria. 2017. Disponible en: https://www.gob.mx/cms/uploads/attachment/file/250824/MODELO_DE_ATENCION_MEDICA_PREHOSPITALARIA.pdf. Consultado 21 Ene 2025.
27. Sharma A, Razuk V, Nicolas J, Beerkens F, Dangas GD. Two years into the COVID-19 pandemic:implications for the cardiac catheterization laboratory and its current practices. J Transcat Interv. 2022;30eA20220003.
28. Rodríguez-González EF, Briceño-Gómez EE, Gómez-Cruz EJ, et al. ¿A dónde se fueron los infartos de miocardio durante la pandemia por COVID-19 en México? Med Interna México. 2023;39:538-540.
29. Romaguera R, Ojeda S, Cruz-González I, Moreno R. Spanish Cardiac Catheterization and Coronary Intervention Registry. Rev Esp Cardiol. 2021;74:1095-1105.
30. Nadarajah R, Wu J, Hurdus B, et al. The collateral damage of COVID-19 to cardiovascular services:a meta-analysis. Eur Heart J. 2022;43:3164-3178.
31. Borrayo-Sánchez G, Rosas-Peralta M, Ramírez-Arias E, et al. STEMI and NSTEMI:Real-world Study in Mexico (RENASCA). Arch Med Res. 2018;49:609-619.
32. Tang EW, Wong CK, Herbison P. Global Registry of Acute Coronary Events (GRACE) hospital discharge risk score accurately predicts long-term mortality post acute coronary syndrome. Am Heart J. 2007;153:29-35.
33. Martinez-Sanchez C, Borrayo G, Carrillo J, et al. Clinical management and hospital outcomes of acute coronary syndrome patients in Mexico:The Third National Registry of Acute Coronary Syndromes (RENASICA III). Arch Cardiol México. 2016;86:221-232.
34. Rodríguez-Leor O, Cid-Álvarez AB, Pérez de Prado A, et al. Analysis of the management of ST-segment elevation myocardial infarction in Spain. Results from the ACI-SEC Infarction Code Registry. Rev Esp Cardiol. 2022;75:669-680.
35. Wang X, Yan J, Su Q, et al. Is there an association between time of admission and in-hospital mortality in patients with non-ST-elevation myocardial infarction?A meta-analysis. Sci Rep. 2015;5:14409.
36. Dharma S, Dakota I, Sukmawan R, et al. Two-year mortality of primary angioplasty for acute myocardial infarction during regular working hours versus off-hours. Cardiovasc Revascularization Med. 2018;19(7 Pt B):826-830.
37. Javanshir E, Ramandi ED, Ghaffari S, et al. Association Between Off-hour Presentations and In-hospital Mortality for Patients with Acute ST-Elevation Myocardial Infarction Treated with Primary Percutaneous Coronary Intervention. J Saudi Heart Assoc. 2020;32:242-247.
38. Al-Asadi JN, Kadhim FN. Day of admission and risk of myocardial infarction mortality in a cardiac care unit in Basrah, Iraq. Niger J Clin Pract. 2014;17:579-584.
39. Machado GP, Araujo GN de, Mariani S, et al. On- vs. off-hours admission of patients with ST-elevation acute myocardial infarction undergoing percutaneous coronary interventions:data from a tertiary university brazilian hospital. Clin Biomed Res. 2018;38:30-34.
40. Evangelista PA, Barreto SM, Guerra HL. Hospital admission and hospital death associated to ischemic heart diseases at the National Health System (SUS). Arq Bras Cardiol. 2008;90:130-138.
41. Barbosa R, Cesar F, Bayerl D, et al. Acute Myocardial Infarction and Primary Percutaneous Coronary Intervention at Night Time. Int J Cardiovasc Sci. 2018;31:513-519.
42. Rosende A, Mariani JA, Abreu MD, et al. Distribución de la frecuencia de síndrome coronario agudo acorde al día de la semana. Rev Argent Cardiol. 2015;83:1-10.
